相關產品推薦更多 >>
智能型電磁污水流量計和超聲流量計在污水處理廠的應用
點擊次數:3952 發布時間:2021-08-19 08:20:49
摘要:水資源的短缺已稱為制約我國可持續發展道路的主要因素。除了節約用水外,水污染的防治也是水資源保護的當務之急。建立污水處理廠是治理污水的重要手段之一。液體流量計作為污水處理廠中的計量器具,是雙方貿易結算的依據。本文主要是通過對智能型電磁污水流量計和超聲流量計的介紹,為污水廠在流量計的選用中提供參考。
當前,我國是嚴重水匱乏的**,水資源的短缺已成為可持續發展的嚴重制約因素,可以說已經成為我國可持續發展的瓶頸。水資源時空分布嚴重不均,人口眾多和傳統工業經濟發展速度較快加劇了缺水問題;嚴重的水污染又使缺水問題日益突出;因此,水污染防治是水資源保護的當務之急。節水是從量上保護水資源,防治污染是從質上保護水資源,二者缺一不可,相輔相成,節水本身就減少了污染總量;污染的防治則實際上減少了不可利用的水量,等于節水。
污水處理廠的建設是治理污水的重要手段之一。目前,天津市投入運行的污水處理廠達到58座,累計日處理能力達到260萬t,使全市污水處理率達到85%以上(城區90%以上)。現有的污水處理廠大多是由企業投資建設,處理污水所需的費用由政府結算。液體流量計作為污水處理廠中的主要計量器具,是雙方結算的依據。由于其他類型液體流量計(如渦輪流量計、渦街流量計等)對水質要求比較高,污水處理廠中常用液體流量計是智能型電磁污水流量計和超聲流量計。
當前,我國是嚴重水匱乏的**,水資源的短缺已成為可持續發展的嚴重制約因素,可以說已經成為我國可持續發展的瓶頸。水資源時空分布嚴重不均,人口眾多和傳統工業經濟發展速度較快加劇了缺水問題;嚴重的水污染又使缺水問題日益突出;因此,水污染防治是水資源保護的當務之急。節水是從量上保護水資源,防治污染是從質上保護水資源,二者缺一不可,相輔相成,節水本身就減少了污染總量;污染的防治則實際上減少了不可利用的水量,等于節水。
污水處理廠的建設是治理污水的重要手段之一。目前,天津市投入運行的污水處理廠達到58座,累計日處理能力達到260萬t,使全市污水處理率達到85%以上(城區90%以上)。現有的污水處理廠大多是由企業投資建設,處理污水所需的費用由政府結算。液體流量計作為污水處理廠中的主要計量器具,是雙方結算的依據。由于其他類型液體流量計(如渦輪流量計、渦街流量計等)對水質要求比較高,污水處理廠中常用液體流量計是智能型電磁污水流量計和超聲流量計。

1、智能型電磁污水流量計的測量原理是根據法拉*電磁感應定律,當一導體在磁場中運動切割磁力線時,在導體的兩端即產生感應電動勢,其方向由右手定則確定,其大小與磁場的磁感應強度、導體在磁場內的長度及導體的運動速度成正比,如果,三者互相垂直,則E=BLu (1-1)

若在磁感應強度為B的均與磁場中,垂直于磁場方向放一個內徑為D的不導磁管道,當導電液體在管道中以流速u流動時,導電流體就切割磁力線。如果在管道截面上垂直于磁場的直徑兩端安裝一對電極則可以證明,兩電極之間也將產生感應電動勢E=kBDv (1-2)

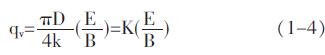
圓形截面測量管道的體積流量qv為

由此可以進一步表示

其中:流量計的校準系數,該系數實際上通常是靠實流校準得到。
由上式可見,體積流量qv與感應電動勢和測量管內徑呈線性關系,與磁場的磁感應強度呈反比,與其他物理參數無關,這也是智能型電磁污水流量計的*大優點。它的結構主要包括流量傳感器與轉換器兩部分組成。傳感器主要由一段流過被測導電液體的測量管;內襯通常是絕緣的,一對或多對電極測量管道內導電液體流動產生的信號;在測量管中產生磁場的電磁體。轉換器主要采用模擬集成運算放大電路對傳感器電極產生的電信號進行放大處理,來反映管道中流量的變化,通過二次顯示儀表讀取流量值。
2、超聲流量計以測量超聲波在流動介質中傳播的時間與流量的關系為原理。通常認為超聲波在流體中的實際傳播速度是由介質靜止狀態下超聲波的傳播速度cf和流體軸向平均流速vm在超聲波傳播方向上的分量組成。如圖,順流和逆流傳播時間與各量之間的關系是
由上式可見,體積流量qv與感應電動勢和測量管內徑呈線性關系,與磁場的磁感應強度呈反比,與其他物理參數無關,這也是智能型電磁污水流量計的*大優點。它的結構主要包括流量傳感器與轉換器兩部分組成。傳感器主要由一段流過被測導電液體的測量管;內襯通常是絕緣的,一對或多對電極測量管道內導電液體流動產生的信號;在測量管中產生磁場的電磁體。轉換器主要采用模擬集成運算放大電路對傳感器電極產生的電信號進行放大處理,來反映管道中流量的變化,通過二次顯示儀表讀取流量值。
2、超聲流量計以測量超聲波在流動介質中傳播的時間與流量的關系為原理。通常認為超聲波在流體中的實際傳播速度是由介質靜止狀態下超聲波的傳播速度cf和流體軸向平均流速vm在超聲波傳播方向上的分量組成。如圖,順流和逆流傳播時間與各量之間的關系是

可利用式(1-5)的兩個公式得出流體流速的表達式

也可以用相似的方法獲得超聲波的傳播速度

將測得的多個聲道的流體流速vi,=1,2,……,k;利用數學的函數關系聯合起來,可得到管道平均流速的估計值,乘以過流面積,即可得到體積流量,則:

超聲波流量計主要由流量計表體、超聲換能器及其安裝部件、信號處理單元和流量計算機組成。對于現場接觸式和外夾式流量計,安裝換能器處的管道可做表體使用,接觸式流量計的換能器直接與被測流體接觸,外夾式流量計的換能器緊密安裝在管道外壁。
3、兩種流量計有各自的優缺點:
(1)智能型電磁污水流量計在污水測量中的優點主要有以下幾個方面:
(a)壓力損失小相對較小。智能型電磁污水流量計的傳感器結構簡單,測量管內沒有可動部件,也沒有任何阻礙流體流動的節流部件,當流體通過流量計時不會引起任何附加的壓力損失,流量計的阻力僅是同一長度管道的沿程阻力,是流量計中運行能耗*低的流量儀表之一。
(b)可以測量臟污介質及懸濁性液固兩相流的流量。智能型電磁污水流量計的測量通道是一段無阻流檢測件的光滑直管,不易阻塞含有固體顆粒或纖維的液固二相流體。
(c)智能型電磁污水流量計所測得的體積流量,實際上不受流體密度、粘度、溫度、壓力和電導率變化的影響。缺點主要是不能測量含有大量氣體的液體。
(2)超聲流量計在污水測量中的優點主要有以下幾個方面:
(a)可做非接觸式測量。
(b)和智能型電磁污水流量計一般為無流動阻撓測量,沒有壓力損失。
(c)可測量非導電性液體,對無阻撓測量的智能型電磁污水流量計是一種補充。時間法超聲流量計只能用于清潔液體,一般在污水廠中主要用于出水管道流量的測量。考慮到污水測量過程中管道中雜質、氣泡對智能型電磁污水流量計的影響,以及超聲流量計在日常維護與保養得重要性,一種專用于污水測量的流量計,將是流量工作者今后努力研究的方向。
3、兩種流量計有各自的優缺點:
(1)智能型電磁污水流量計在污水測量中的優點主要有以下幾個方面:
(a)壓力損失小相對較小。智能型電磁污水流量計的傳感器結構簡單,測量管內沒有可動部件,也沒有任何阻礙流體流動的節流部件,當流體通過流量計時不會引起任何附加的壓力損失,流量計的阻力僅是同一長度管道的沿程阻力,是流量計中運行能耗*低的流量儀表之一。
(b)可以測量臟污介質及懸濁性液固兩相流的流量。智能型電磁污水流量計的測量通道是一段無阻流檢測件的光滑直管,不易阻塞含有固體顆粒或纖維的液固二相流體。
(c)智能型電磁污水流量計所測得的體積流量,實際上不受流體密度、粘度、溫度、壓力和電導率變化的影響。缺點主要是不能測量含有大量氣體的液體。
(2)超聲流量計在污水測量中的優點主要有以下幾個方面:
(a)可做非接觸式測量。
(b)和智能型電磁污水流量計一般為無流動阻撓測量,沒有壓力損失。
(c)可測量非導電性液體,對無阻撓測量的智能型電磁污水流量計是一種補充。時間法超聲流量計只能用于清潔液體,一般在污水廠中主要用于出水管道流量的測量。考慮到污水測量過程中管道中雜質、氣泡對智能型電磁污水流量計的影響,以及超聲流量計在日常維護與保養得重要性,一種專用于污水測量的流量計,將是流量工作者今后努力研究的方向。
下一篇:智能型電磁污水處理流量計運行中存在的主要問題及處理方法


