氣體質量流量計的工作原理
點擊次數:4620 發布時間:2021-06-10 01:14:30
測量氣體用的*多的就是氣體質量流量計了,但很多人針對氣體質量流量計還不太了解,那么**找來有關專家為大家概述氣體質量流量計的原理。
氣體質量流量計(以下簡稱tme)是利用傳熱原理,即流動中的流體與熱源(流體中加熱的物體或測量管外加熱體)之間熱量交換關系來測量流量的儀表,過去我國習稱量熱式流量計。當前主要用于測量氣體。
20世紀90年代初期,**范圍tmf銷售金額約占流量儀表的8%,約4.5萬臺。國內90年代中期銷售量估計每年1000臺左右。過去流程工業用儀表主要是熱分布式,近幾年才開發熱散(或冷卻)效應式。
1. 原理和結構
熱式流量儀表用得*多有兩類,即1)利用流動流體傳遞熱量改變測量管壁溫度分布的熱傳導分布效應的熱分布式流量計(thenmai prohie fiowmeter)曾稱量熱式tmf;2)利用熱消散(冷卻)效應的金氏定律(king s iaw)tmf。又由于結構上檢測元件伸入測量管內,也稱浸入型(immersion type )或侵入型(intrusion type)。有些在使用時從管外插入工藝管內的儀表稱作插入式(insertion type)。

1.1熱分布式tmf
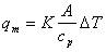
熱分布式tmf的工作原理如圖1所示,薄壁測量管3外壁繞著兩組兼作加熱器和檢測元件的繞組2,組成惠斯登電橋,由恒流電源5供給恒定熱量,通過線圈絕緣層、管壁、流體邊界層傳導熱量給管內流體。邊界層內熱的傳遞可以看作熱傳導方式實現的。在流量為零時,測量管上的溫度分布如圖下部虛線所示,相對于測量管中心的上下游是對稱的,由線圈和電阻組成的電橋處于平衡狀態;當流體流動時,流體將上游的部分熱量帶給下游,導致溫度分布變化如實線所示,由電橋測出兩組線圈電阻值的變化,求得兩組線圈平均溫度差δt。便可按下式導出質量流量qm,即
(1) 

式中 cp -------被測氣體的定壓比熱容;
a -------測量管繞組(即加熱系統)與周圍環境熱交換系統之間的熱傳導系數;
k -------儀表常數。

在總的熱傳導系數a中,因測量管壁很薄且具有相對較高熱導率,儀表制成后其值不變,因此a的變化可簡化認為主要是流體邊界層熱導率的變化。當使用于某一特定范圍的流體時,則a、cp均視為常量,則質量流量僅與繞組平均溫度差成正比,如圖2 oa 段所示。 oa段為儀表正常測量范圍,儀表出口處流體不帶走熱量,或者說帶走熱量極微;超過a點流量增大到有部分熱量被帶走而呈現非線性,流量超過b點則大量熱量被帶走。
測量管加熱方式大部分產品采用兩繞組或三繞組線繞電阻;除管外電阻絲繞組加熱方式外還有利用管材本身電阻加熱方式,如表1所示。測量管形狀有直管形,還有∏字形結構,三繞組中一組在中間加熱,兩組分繞兩臂測量溫度。
表 1 測量管加熱和檢測方式

為了獲得良好的線形輸出,必須保持層流流動,測量管內徑d設計得很小而長度l很長,即有很大l/d比值,流速低,流量小。為擴大儀表流量,還可采用在管道內裝管束等層流阻流件;擴大更大流量和口徑還常采用分流方式,在主管道內裝層流阻流件(見圖3)以恒定比值分流部分流體到流量傳感部件。有些型號儀表也有用文丘里噴嘴等代替層流阻流件。

市場上熱分布式tmf按測量管內徑分為細管型(也有稱毛細管型)和小型兩大類,結構上有較大區別。小型測量管儀表只有直管型,內徑為4mm;細管型測量管內徑僅0.2~0.5mm。稍大者為0.8~1mm,極容易堵塞,只適用于凈化無塵氣體。細管型儀表還有一種帶有調節單元和控制閥等組成一體的熱式質量流量控制器,結構如圖4所示。

1.2基于金氏定律的浸入型tmf
金氏定律的熱絲熱散失率表述各參量間關系,如式2所示。
(2) 

式中 h/l -------單位長度熱散失率,j/m?h;
δt--------熱絲高于自由流束的平均升高溫度,k;
λ --------流體的熱導率,j/h?m?k;
cv---------定容比熱容,j/kg?k;
ρ---------密度,kg/m3;
u---------流體的流速,m/h;
d--------熱絲直徑,m.
如圖5所示,兩溫度傳感器(熱電阻)分別置于氣流中兩金屬細管內,一熱電阻測得氣流溫度t;另一細管經功率恒定的電熱加熱,其溫度tv高于氣流溫度,氣體靜止時tv*高,隨著質量流速ρu增加,氣流帶走更多熱量,溫度下降,測得溫度差δt=tv-t.這種方法稱作“溫度差測量法”或“溫度測量法”。
消耗功率p和溫度差δt如式3所示比列關系,式中b, c, k均為常數,k在?~?之間。從式2便可算出質量流速,乘上點流速于管道平均流速間系數和流通面積的質量流量qm,再將式3變換成式4。
(3) 

(4) 

式4中e是與所測氣體物性如熱導率、比熱容、粘度等有關的系數,如果氣體成分和物性恒定則視為常數。d則是與實際流動有關的常數。
若保持δt恒定,控制加熱功率隨著流量增加而增加功率,這種方法稱作“功率消耗測量法”。
下一篇:氣體質量流量計的種類


