科里奧利質量流量計的概述及工作原理
點擊次數:4217 發布時間:2016-06-06 00:47:20
1、科里奧利質量流量計的概述
科里奧利質量流量計,簡稱科氏流量計或CMF。科氏流量計是利用流體在振動管中流動時產生的科里奧利力,而科里奧利力又與質量流量成正比這個原理來實現對質量流量測量的儀表。
科氏流量計以可直接測量管道內流體的質量流量,計量精確度高,工作性能穩定可靠,適用的流體介質面寬,而被廣泛用于石油、化工、冶金、制藥、造紙、食品和能源等行業工藝過程的檢測控制以及貿易計量結算等場合。
2、科里奧利質量流量計的工作原理
科里奧利(Coriolis)是法國物理學家。經過科里奧利的研究發現:當一個質點相對于慣性系做直線運動時,相對于旋轉體系,其軌跡是一條曲線。立足于旋轉體系,他認為有一個力驅使質點運動軌跡形成曲線,這個力就是科里奧利力。
科里奧利力廣泛用于氣象、水力、海洋研究、人類工程學、導彈軍事等不同的領域,當然還包括質量流量的測量。
人們利用科里奧利力的原理設計了用于對質量流量進行測量的儀表。
科氏質量流量計是利用當被測量的流體通過一個振動中的測量管,流體在管道中的流動相當于直線運動,測量管受振動時會產生一個角速度,由于振動是受到外加電磁場驅動的,有著固定的頻率,因而流體在管道中產生的科里奧利力僅與其質量和運動速度有關,而質量和流速的乘積就是需要測量的質量流量,因而通過測量流體在管道中受到的科里奧利力,便可以測量其質量流量。
如圖8-3所示,當一質*為δm的質點,在以勻速μ圍繞旋轉軸P,以角速度ω旋轉并延軸向運動,這個質點將獲得兩個加速度。

圖中:αr----法向加速度;
αt----切向加速度;又稱科里奧利加速度。
為了使質點具有科里奧利加速度αt,就需要在αt方向施加一大小等于2ωμδm,方向相反的力Fc,這個Fc稱之為科里奧利力,其大小等于:
Fc=2ωμδm
從圖8-3可以看到,當密度為ρ的流體以恒定流速μ旋轉流動時,任一段長度△X的管道將受到一個大小的△Fc的切向科里奧利力,其大小等于:
△Fc=2ωμδA△X
式中,A為管道的橫截面積。
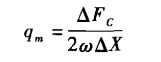
由于質量流量qm=δμA,將式(8-2)代入該式則可得:

式中qm----質量流量;
△Fc----科里奧利力;
ω----流體旋轉角速度;
△X----單位長度。
從式(8-3)中可以知道,當ω,△X為常數時,質量流量與單位長度上受到的科里奧利力△Fc成正比。只要能直接或間接地測量出△Fc,就能測得流經管道的質量流量。
但是,在實際測量中,要使流體流經管道時圍繞以P軸以角速度ω旋轉顯然是不切實際,但經過幾年的實踐和探索,人們發現使管道以P軸為軸心產生一定頻率的上下振動,也能使管道內壁產生相應的科里奧利力.這種管道又稱為振動管。
下一篇:熱式質量流量計的特點與結構原理


