相關產品推薦更多 >>
影響皮革廠污水管道流量計誤差的因素及不確定度分析
點擊次數:2758 發布時間:2020-12-24 05:37:48
摘要:針對目前皮革廠污水管道流量計的廣泛應用,簡要介紹影響皮革廠污水管道流量計示值誤差的不利因素以及對其不確定度的分析。
1、引言
隨著工業自動化的迅速發展,越來越多的流量計被用于工業生產和貿易結算,因此流量計的計量檢定校準占據著越來越重要的地位,在眾多種類的流量計中,皮革廠污水管道流量計以其傳感器結構簡單、測量管徑無壓損、準確度高、性能優良等諸多優點,被應用在各個領域。皮革廠污水管道流量計有許多優點,但若選型不合理、現場安裝不妥、使用不當,都將會引起誤差的增大,示值不穩定,甚至表體損壞。針對大慶地區各大采油廠的實際情況,正確的安裝方法成了流量計準確計量的關鍵。
如果在實驗室進行檢定校準,以上這些不利因素就可以有效地減輕甚至避免,下面將在實驗室環境下和模擬現場環境下對同一皮革廠污水管道流量計進行不確定度的分析。
2、實驗室條件下的不確定度分析
2.1 實驗要求
依據JJG1033-2007《皮革廠污水管道流量計檢定規程》,選定一臺DN100mm皮革廠污水管道流量計作為校準對象,測量標準和主要配套儀器設備為DN(80-250)mm水流量標準裝置,不確定度為0.066%(k=2)。
2.2 數學模型
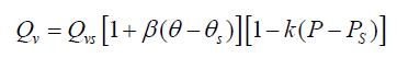
2.2.1 體積流量計算
由于水的體積壓縮系數很小,當壓力變化不是很大時,可將水看做是不可壓縮的流體,因此由標準裝置得到的水的體積流量為:

2.2 流量計誤差
皮革廠污水管道流量計準確度的表示方法有三種:相對示值誤差、滿量程引用誤差、相對示值誤差與滿量程引用誤差相結合。因為針對一個固定的流量點誤差總可以用任一種方式表述,而流量計量中,相對示值誤差應用場合較多,所以下面的分析均采用相對示值誤差的表示方法。

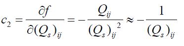
2.3 靈敏系數
靈敏系數C的表達式為:

2.4 各分量標準不確定度評定
標準不確定度的來源主要有兩個方面:由被校流量計測量重復性引入的不確定度分量u(Er)和標準裝置引入的不確定度分量u(Qs)。
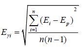
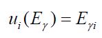
2.4.1 被校流量計測量重復性引入的不確定度分量u(Er)的評定DN100mm皮革廠污水管道流量計,其流量范圍為(4~45)m3/h,各測量點測量重復性按下式計算:

從表中已得出各測量點的Eri值。為此每個流量點由測量重復性引入的不確定度為:

2.4.2 標準裝置引入的不確定度分量u(Qs)的評定
本分量主要由標準裝置引入的,其不確定度來源主要有計時器頻率穩定度、標準工作量器的不確定度、換向器的累計時間、溫度變送器的誤差、壓力變送器的誤差等引入的。黑龍江省計量檢定測試院檢定該裝置時已將上述各項不確定因素考慮在內,在檢定**上已給出擴展不確定度為U=0.066%(k=2)。則標準裝置引入的不確定度分量為:

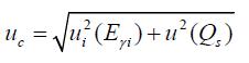
2.5 合成相對標準不確定度Uc的評定合成相對標準不確定度Uc的評定

2.6 擴展不確定度的評定
取包含因子k=2時,則擴展不確定度結果如表1:

通過在實驗室條件下對該流量計的檢定,符合流量計的等級標準,下面將模擬現場安裝條件來對該流量計進行檢定。
3、實驗室條件下的不確定度分析
為了模擬現場管道中流量不穩的情況,將該流量計上游處安裝一個同口徑的渦街流量計,因為渦街流量計表體中有可產生旋渦的阻流件,可以模擬現場的流體不穩定情況。其測量后的具體數據如表2:

4、結論
實驗室條件下和模擬現場條件下的不確定度比較(表3)兩次結果可以看出,兩次實驗各個流量點的不確定度差距非常大。可見,皮革廠污水管道流量計對安裝條件還是比較苛刻的。

5、結束語
通過對流量計在不同環境下不確定度的評定,可以看出現場安裝條件對流量計誤差和不確定度的影響。如果流量計在現場使用時沒有正確安裝,例如直管段長度不夠、管徑內液體不是理想液體、環境溫度超出流量計正常使用范圍,都有可能對流量計的測量結果造成極大的影響,可是現場條件未必能像實驗室的安裝條件一樣理想,這就需要使用單位對流量計的性能作必要的了解和對現場安裝條件的嚴格把關。
淺析養殖場智能污水流量計的應用及如何組建運程監控系統
電容傳感器的皮革廠污水流量計測量
皮革廠污水流量計未滿管電磁流量如何測量
智能皮革廠污水流量計的結構特點與工作原理
凱銘皮革廠污水專用流量計生產廠家
皮革廠污水流量計的優缺點有哪些方面
電廠污水流量計在水質綜合參數在線監測中的應用
制革廠污水流量計的種類選型及檢測方法
在污水流量測量中幾種工廠污水流量計的綜合比較
養殖場污水流量計,地下水污水流量計
電廠污水流量計,污水流量測量用什么流量計
工廠污水流量計,耐腐蝕污水流量計
皮革廠污水流量計如何測量實驗室條件下質量流量的方法
食品廠污水流量計,防堵污水流量計
養殖場污水流量計,分體式污水流量計
電廠污水流量計,dn400污水流量計
流量測量中優先考慮使用冶金污水流量計的十個原因
電廠污水流量計
食品廠污水流量計
養殖場污水流量計
紡織廠污水流量計調試期與運行期常見故障的分析處理
養殖場污水流量計,dn350污水流量計廠家
關于電廠污水處理流量計在制氧機組供水系統中的案例分析
皮革廠污水電磁流量計的原理特點及安裝注意事項
電廠污水流量計,化工廠污水流量計
養殖場污水流量計,電廠污水流量計
養殖場污水流量計,防堵污水流量計
食品廠污水流量計,一體式污水流量計
處理電廠污水處理專用流量計現場故障的措施與標準步驟
養殖場污水流量計與管道連接有哪幾種方式
1、引言
隨著工業自動化的迅速發展,越來越多的流量計被用于工業生產和貿易結算,因此流量計的計量檢定校準占據著越來越重要的地位,在眾多種類的流量計中,皮革廠污水管道流量計以其傳感器結構簡單、測量管徑無壓損、準確度高、性能優良等諸多優點,被應用在各個領域。皮革廠污水管道流量計有許多優點,但若選型不合理、現場安裝不妥、使用不當,都將會引起誤差的增大,示值不穩定,甚至表體損壞。針對大慶地區各大采油廠的實際情況,正確的安裝方法成了流量計準確計量的關鍵。
如果在實驗室進行檢定校準,以上這些不利因素就可以有效地減輕甚至避免,下面將在實驗室環境下和模擬現場環境下對同一皮革廠污水管道流量計進行不確定度的分析。
2、實驗室條件下的不確定度分析
2.1 實驗要求
依據JJG1033-2007《皮革廠污水管道流量計檢定規程》,選定一臺DN100mm皮革廠污水管道流量計作為校準對象,測量標準和主要配套儀器設備為DN(80-250)mm水流量標準裝置,不確定度為0.066%(k=2)。
2.2 數學模型
2.2.1 體積流量計算
由于水的體積壓縮系數很小,當壓力變化不是很大時,可將水看做是不可壓縮的流體,因此由標準裝置得到的水的體積流量為:

2.2 流量計誤差
皮革廠污水管道流量計準確度的表示方法有三種:相對示值誤差、滿量程引用誤差、相對示值誤差與滿量程引用誤差相結合。因為針對一個固定的流量點誤差總可以用任一種方式表述,而流量計量中,相對示值誤差應用場合較多,所以下面的分析均采用相對示值誤差的表示方法。

2.3 靈敏系數
靈敏系數C的表達式為:

2.4 各分量標準不確定度評定
標準不確定度的來源主要有兩個方面:由被校流量計測量重復性引入的不確定度分量u(Er)和標準裝置引入的不確定度分量u(Qs)。
2.4.1 被校流量計測量重復性引入的不確定度分量u(Er)的評定DN100mm皮革廠污水管道流量計,其流量范圍為(4~45)m3/h,各測量點測量重復性按下式計算:

從表中已得出各測量點的Eri值。為此每個流量點由測量重復性引入的不確定度為:

2.4.2 標準裝置引入的不確定度分量u(Qs)的評定
本分量主要由標準裝置引入的,其不確定度來源主要有計時器頻率穩定度、標準工作量器的不確定度、換向器的累計時間、溫度變送器的誤差、壓力變送器的誤差等引入的。黑龍江省計量檢定測試院檢定該裝置時已將上述各項不確定因素考慮在內,在檢定**上已給出擴展不確定度為U=0.066%(k=2)。則標準裝置引入的不確定度分量為:

2.5 合成相對標準不確定度Uc的評定合成相對標準不確定度Uc的評定

2.6 擴展不確定度的評定
取包含因子k=2時,則擴展不確定度結果如表1:

通過在實驗室條件下對該流量計的檢定,符合流量計的等級標準,下面將模擬現場安裝條件來對該流量計進行檢定。
3、實驗室條件下的不確定度分析
為了模擬現場管道中流量不穩的情況,將該流量計上游處安裝一個同口徑的渦街流量計,因為渦街流量計表體中有可產生旋渦的阻流件,可以模擬現場的流體不穩定情況。其測量后的具體數據如表2:

4、結論
實驗室條件下和模擬現場條件下的不確定度比較(表3)兩次結果可以看出,兩次實驗各個流量點的不確定度差距非常大。可見,皮革廠污水管道流量計對安裝條件還是比較苛刻的。

5、結束語
通過對流量計在不同環境下不確定度的評定,可以看出現場安裝條件對流量計誤差和不確定度的影響。如果流量計在現場使用時沒有正確安裝,例如直管段長度不夠、管徑內液體不是理想液體、環境溫度超出流量計正常使用范圍,都有可能對流量計的測量結果造成極大的影響,可是現場條件未必能像實驗室的安裝條件一樣理想,這就需要使用單位對流量計的性能作必要的了解和對現場安裝條件的嚴格把關。
下一篇:因環境方面引起的防腐污水處理排水流量計故障的主要原因


